| 일 | 월 | 화 | 수 | 목 | 금 | 토 |
|---|---|---|---|---|---|---|
| 1 | 2 | 3 | 4 | 5 | 6 | |
| 7 | 8 | 9 | 10 | 11 | 12 | 13 |
| 14 | 15 | 16 | 17 | 18 | 19 | 20 |
| 21 | 22 | 23 | 24 | 25 | 26 | 27 |
| 28 | 29 | 30 | 31 |
Tags
- Python
- IOT
- it
- NVIDIADLI워크숍
- 컴퓨터운영체제
- ICT
- nvidia
- front-end
- 네트워크
- Developer
- Dit
- Network
- DLI워크숍
- 대학수업
- Back-End
- 딥러닝
- 컴퓨터
- 컴퓨터수업
- 컴퓨터네트워크
- AI프로그래밍
- Ai
- 운영체제
- ICT이노베이션스퀘어 인공지능 교육
- Stem
- DeepLearning
- DEEPLEARNINGINSTITUTE
- NVIDIA DLI워크숍
- 파이썬
- DEEP LEARNING INSTITUTE
- pc
Archives
- Today
- Total
Coding Story
[Python] AI를 활용한 무인이동체 개발 교육 21일차 (22.06.28) 본문
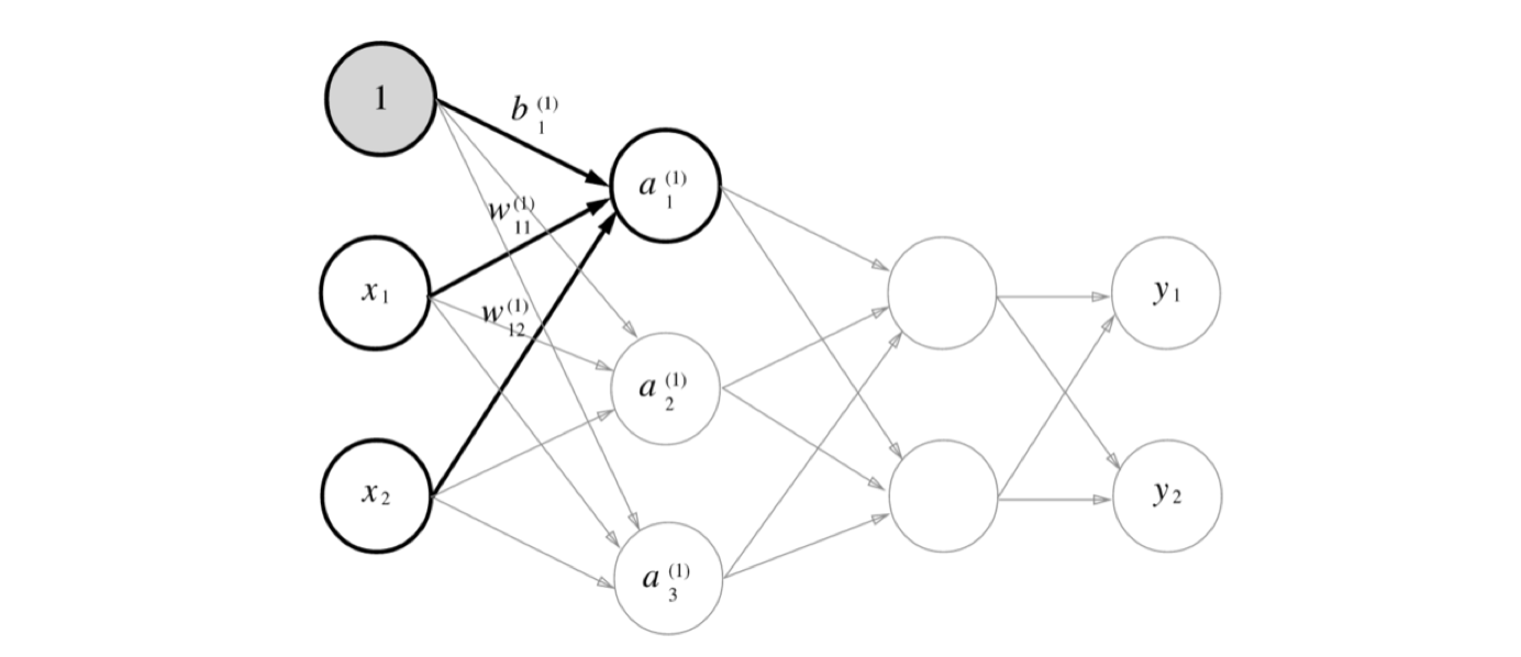
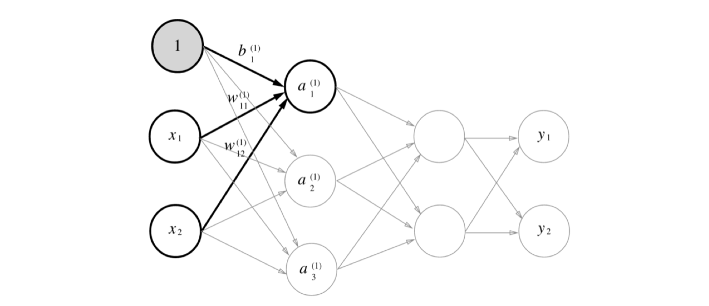
1) 신경망(Neural Network)

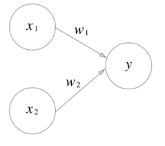
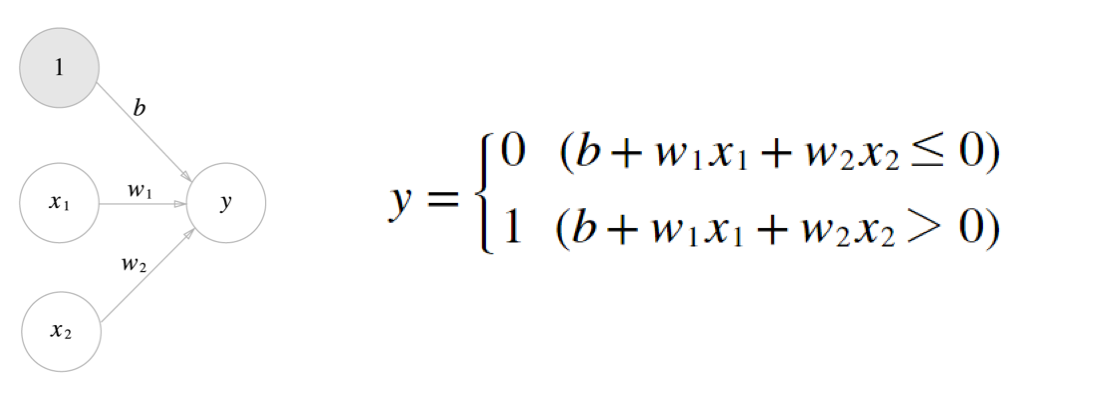
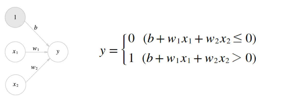
2) 퍼셉트론(Perceptron)

- 다수의 신호를 입력받아 하나의 신호를 출력
- 퍼셉트론은 신호 1, 0 값을 가짐
- 활성 상태일때는 1, 비활성 상태일때는 0을 출력
- 입력이 2개인 퍼셉트론
- x1, x2 는 입력신호
- y는 출력 신호
- w1과 w2는 가중치
- y=w1x1+w2x2

- w는 입력신호(x) 가 결과에 주는 영향력을 조절하는 변수
- 편향은 뉴런이 얼마나 쉽게 활성화 (결과로 1을 출력) 하느냐를
조정하는 매개변수 - 편향의 값이 -10 이면 sum(입력 신호 * 가중치) 값이 10이 넘어야
활성화 된다는 의미



3) 신경망



▶ 자료 출처 : https://colab.research.google.com/drive/1iftDonPmbE9D3hO9AoBHzJyM5zLai8tH
▶ 수업 내용 :
21일차 - 2022. 06. 28 (화).txt
0.00MB
배움이 없는 자유는 언제나 위험하며 자유가 없는 배움은 언제나 헛된 일입니다.
Liberty without learning is always in peril; learning without liberty is always in vain.
'University Study > AI복합교육' 카테고리의 다른 글
| [Python] AI를 활용한 무인이동체 개발 교육 23일차 (22.06.30) (0) | 2022.06.30 |
|---|---|
| [Python] AI를 활용한 무인이동체 개발 교육 22일차 (22.06.29) (0) | 2022.06.29 |
| [Python] AI를 활용한 무인이동체 개발 교육 20일차 (22.06.27) (0) | 2022.06.27 |
| [Python] AI를 활용한 무인이동체 개발 교육 18일차 ~19일차 (22.06.07~22.06.08) (0) | 2022.06.07 |
| [Python] AI를 활용한 무인이동체 개발 교육 15일차 ~ 17일차 (22.05.24~22.05.31) (0) | 2022.06.04 |
Comments